|
|
||||||||||||||||||||||||||||||||||||||||||||||||||||||||||||||||||||||||||
Der hier vorgestellte Mitternachtsformel-Rechner ermöglicht das Lösen jeder quadratischen Gleichung mithilfe der Mitternachtsformel. Mit dem Mitternachtsformel-Rechner kannst du perfekt verstehen, wie die Mitternachtsformel angewendet wird, da der detaillierte Lösungsweg zusammen mit jeder berechneten Lösung angeboten wird.
Um den Rechner zu verwenden, führen Sie die folgenden Schritte aus:
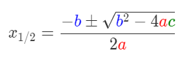
Die quadratische Formel, auch bekannt als Mitternachtsformel, ermöglicht es uns, die Lösung einer quadratischen Gleichung der Form a·x2+b·x+c = 0 zu berechnen. Die Mitternachtsformel lautet wie folgt:
Wie Sie sicher schon ahnen können, müssen wir zur Lösung einer quadratischen Gleichung mit der Mitternachtsformel nur die Werte der Koeffizienten a, b, c in die Formel eingeben und die entsprechenden mathematischen Operationen durchführen.

